Официальное опубликование правовых актов
ОФИЦИАЛЬНОЕ ОПУБЛИКОВАНИЕ
Приказ Управления по развитию промышленности и торговли Тамбовской области от 14.09.2021 № 211
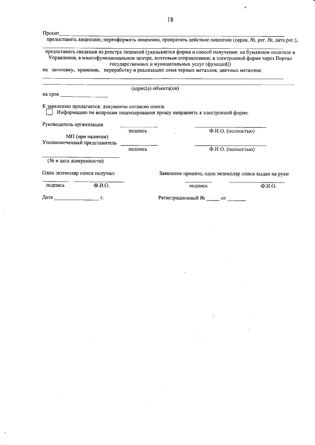
"О внесении изменений в административный регламент предоставления государственной услуги "предоставление лицензий на заготовку, хранение, переработку и реализацию лома черных металлов, цветных металлов", утвержденный приказом управления по развитию промышленности и торговли области от 27.07.2020 № 138"
Номер опубликования: 6801202109150002
Дата опубликования: 15.09.2021
Страница №18 из 18:
Увеличить