Приказ Управления по государственной охране объектов культурного наследия Тамбовской области от 11.08.2021 № 122
"Об утверждении границ территории и режима использования территории объекта культурного наследия регионального значения "Скорбященская кладбищенская церковь" (Тамбовская область, г. Мичуринск, ул. Новый квартал, 8)"
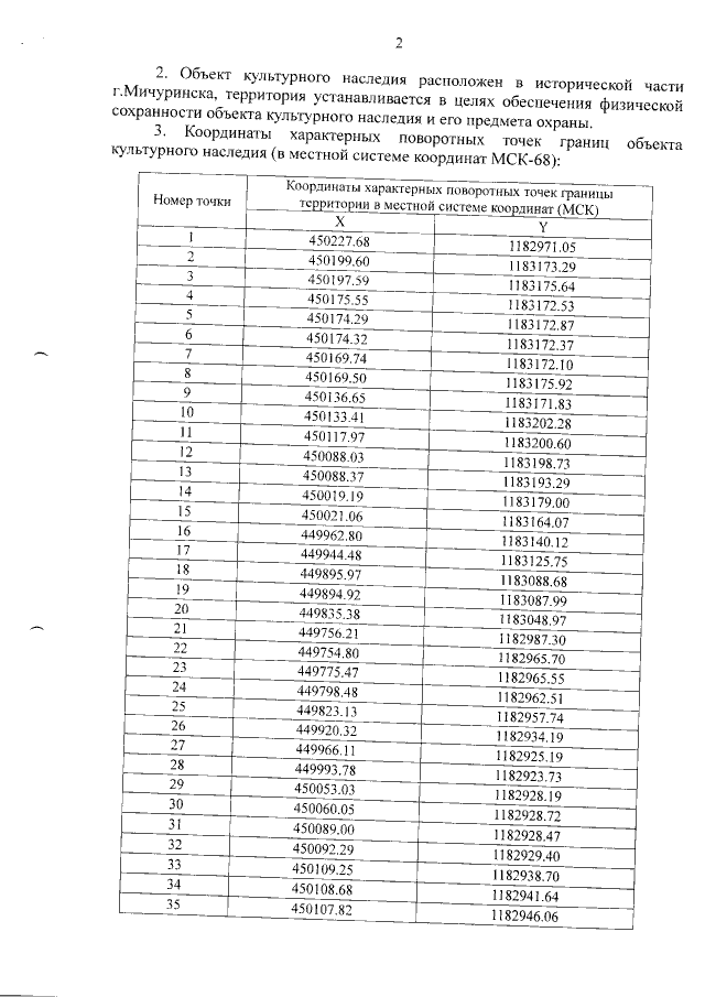
"Об утверждении границ территории и режима использования территории объекта культурного наследия регионального значения "Скорбященская кладбищенская церковь" (Тамбовская область, г. Мичуринск, ул. Новый квартал, 8)"
Номер опубликования: 6801202108130001
Дата опубликования:
13.08.2021
