Официальное опубликование правовых актов
ОФИЦИАЛЬНОЕ ОПУБЛИКОВАНИЕ
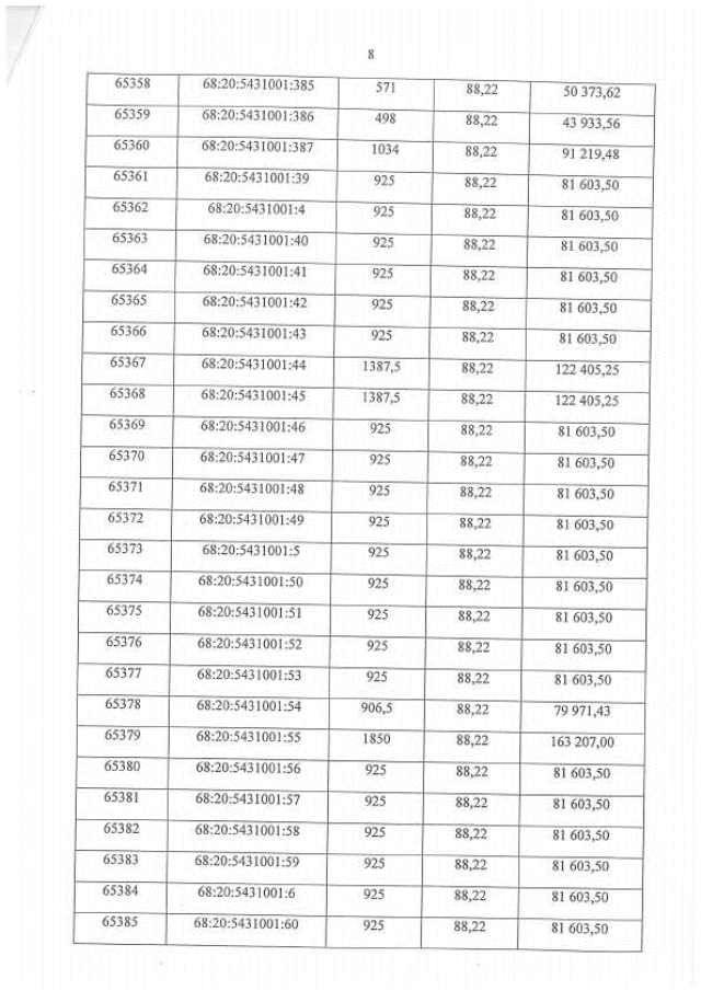
Приказ Комитета по управлению имуществом Тамбовской области от 27.05.2021 № 334
"О внесении изменений в приложение № 1 к приказу комитета по управлению имуществом области от 14.09.2020 № 532 "Об утверждении результатов определения кадастровой стоимости земельных участков в составе земель сельскохозяйственного назначения, расположенных на территории Тамбовской области"
Номер опубликования: 6801202105310001
Дата опубликования: 31.05.2021
Страница №9 из 11:
Увеличить