Официальное опубликование правовых актов
ОФИЦИАЛЬНОЕ ОПУБЛИКОВАНИЕ
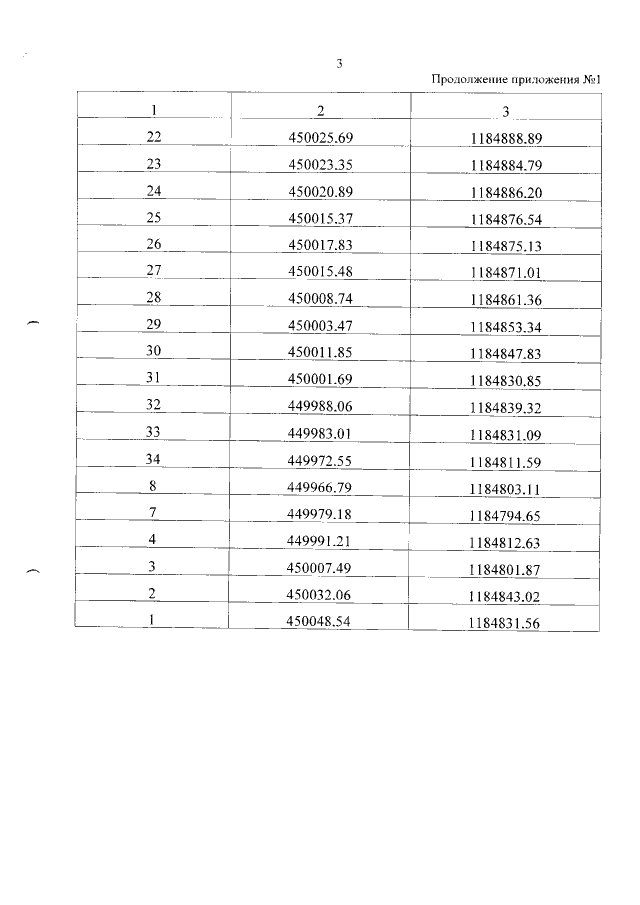
Приказ Управления по государственной охране объектов культурного наследия Тамбовской области от 18.03.2021 № 35
"Об установлении зон охраны объекта культурного наследия регионального значения "Дом Полянских" (Тамбовская область, г.Мичуринск, ул. Филиппова, д.35) и утверждении требований к градостроительным регламентам в границах территорий данных зон"
Номер опубликования: 6801202103190009
Дата опубликования: 19.03.2021
Страница №5 из 11:
Увеличить