Официальное опубликование правовых актов
ОФИЦИАЛЬНОЕ ОПУБЛИКОВАНИЕ
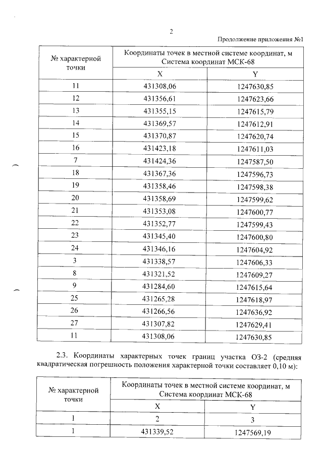
Приказ Управления по государственной охране объектов культурного наследия Тамбовской области от 18.03.2021 № 29
"Об установлении зон охраны объекта культурного наследия регионального значения "Городская усадьба" (Тамбовская область, г.Тамбов, ул. Носовская, д.16) и утверждении требований к градостроительным регламентам в границах территорий данных зон"
Номер опубликования: 6801202103190008
Дата опубликования: 19.03.2021
Страница №4 из 14:
Увеличить