Официальное опубликование правовых актов
ОФИЦИАЛЬНОЕ ОПУБЛИКОВАНИЕ
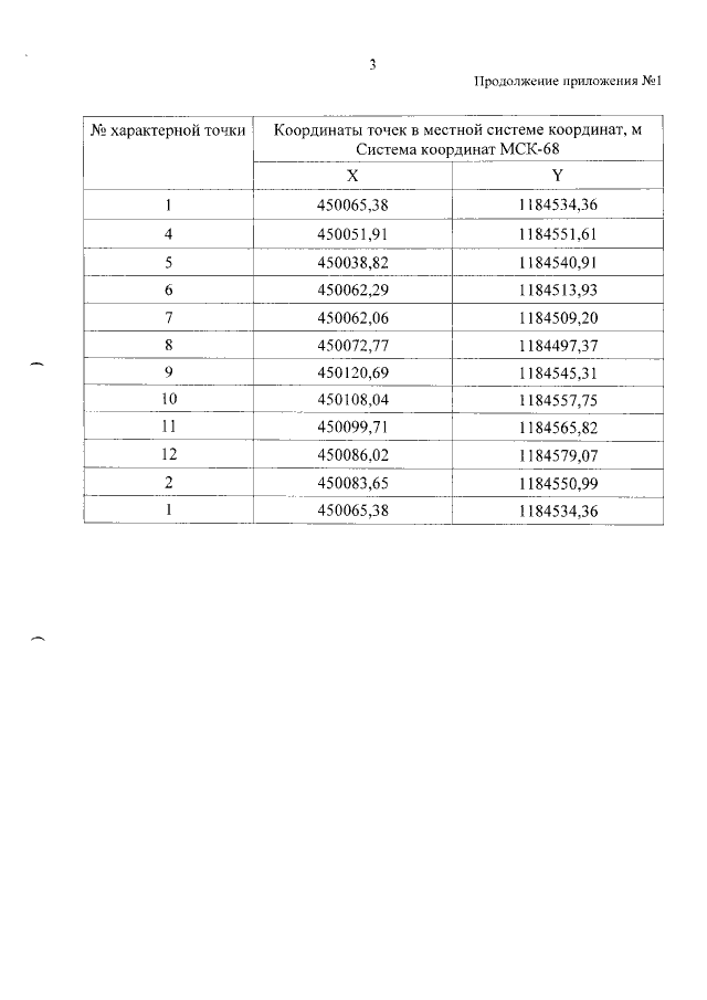
Приказ Управления по государственной охране объектов культурного наследия Тамбовской области от 18.03.2021 № 31
"Об установлении зон охраны объекта культурного наследия регионального значения "Общественное здание" (Тамбовская область, г.Мичуринск, ул. Революционная, д.70) и утверждении требований к градостроительным регламентам в границах территорий данных зон"
Номер опубликования: 6801202103190004
Дата опубликования: 19.03.2021
Страница №5 из 10:
Увеличить