Приказ Управления по государственной охране объектов культурного наследия Тамбовской области от 03.02.2021 № 11
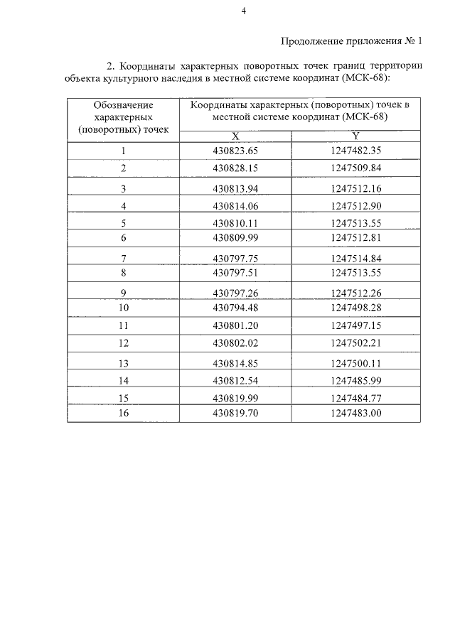
"О включении выявленного объекта культурного наследия "Дом жилой" (Тамбовская область, г. Тамбов, ул. Базарная, 110) в единый государственный реестр объектов культурного наследия (памятников истории и культуры) народов Российской Федерации в качестве объекта культурного наследия регионального значения"
"О включении выявленного объекта культурного наследия "Дом жилой" (Тамбовская область, г. Тамбов, ул. Базарная, 110) в единый государственный реестр объектов культурного наследия (памятников истории и культуры) народов Российской Федерации в качестве объекта культурного наследия регионального значения"
Номер опубликования: 6801202102030004
Дата опубликования:
03.02.2021
