Официальное опубликование правовых актов
ОФИЦИАЛЬНОЕ ОПУБЛИКОВАНИЕ
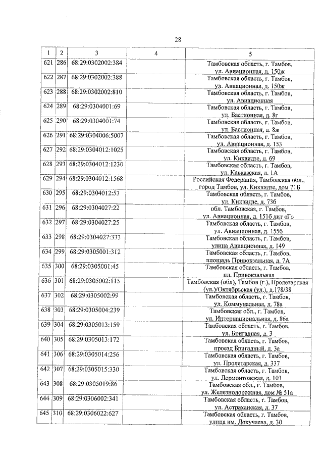
Приказ Комитета по управлению имуществом Тамбовской области от 25.12.2020 № 757
"Об определении перечня объектов недвижимого имущества, в отношении которых в 2021 году налоговая база определяется как кадастровая стоимость"
Номер опубликования: 6801202012290003
Дата опубликования: 29.12.2020
Страница №29 из 38:
Увеличить