Приказ Управления по государственной охране объектов культурного наследия Тамбовской области от 21.12.2020 № 397
"Об установлении зон охраны объекта культурного наследия регионального значения "Дом жилой" (Тамбовская область, г.Тамбов, ул.Ленинградская, д.41) и утверждении требований к градостроительным регламентам в границах территорий данных зон"
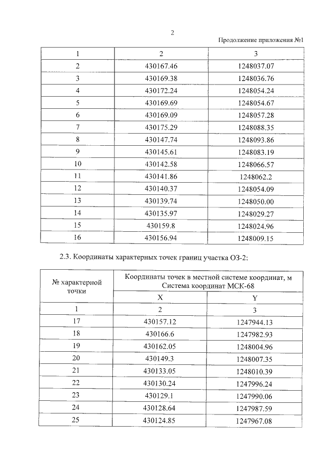
"Об установлении зон охраны объекта культурного наследия регионального значения "Дом жилой" (Тамбовская область, г.Тамбов, ул.Ленинградская, д.41) и утверждении требований к градостроительным регламентам в границах территорий данных зон"
Номер опубликования: 6801202012220016
Дата опубликования:
22.12.2020
