Официальное опубликование правовых актов
ОФИЦИАЛЬНОЕ ОПУБЛИКОВАНИЕ
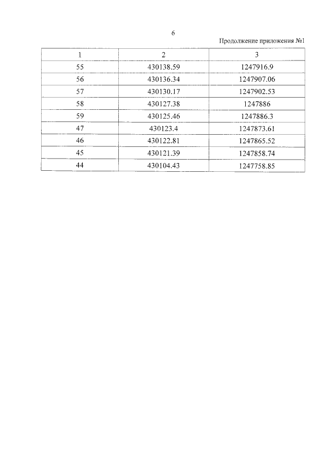
Приказ Управления по государственной охране объектов культурного наследия Тамбовской области от 21.12.2020 № 396
"Об установлении зон охраны объекта культурного наследия регионального значения "Дом жилой" (Тамбовская область, г.Тамбов, ул.Ленинградская‚ д.58) и утверждении требований к градостроительным регламентам в границах территорий данных зон"
Номер опубликования: 6801202012220015
Дата опубликования: 22.12.2020
Страница №8 из 14:
Увеличить