Официальное опубликование правовых актов
ОФИЦИАЛЬНОЕ ОПУБЛИКОВАНИЕ
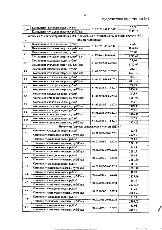
Приказ Управления по регулированию тарифов Тамбовской области от 15.12.2020 № 161-т
"Об установлении тарифов на горячую воду, поставляемую Федеральным государственным бюджетным учреждением "Центральное жилищно-коммунальное управление" Министерства обороны Российской Федерации потребителям Тамбовской области, на 2021 - 2025 гг."
Номер опубликования: 6801202012180003
Дата опубликования: 18.12.2020
Страница №3 из 8:
Увеличить