Официальное опубликование правовых актов
ОФИЦИАЛЬНОЕ ОПУБЛИКОВАНИЕ
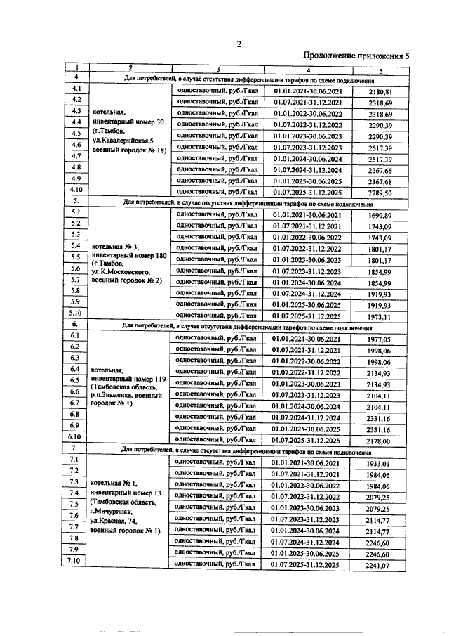
Приказ Управления по регулированию тарифов Тамбовской области от 09.12.2020 № 127-т
"Об утверждении нормативов технологических потерь при передаче тепловой энергии, теплоносителя по тепловым сетям и нормативов удельного расхода топлива при производстве тепловой энергии, определении долгосрочных параметров регулирования и установлении тарифов на тепловую энергию (мощность), поставляемую Федеральным государственным бюджетным учреждением "Центральное жилищно-коммунальное управление" Министерства обороны Российской Федерации потребителям Тамбовской области на 2021 - 2025 гг."
Номер опубликования: 6801202012110020
Дата опубликования: 11.12.2020
Страница №13 из 16:
Увеличить