Официальное опубликование правовых актов
ОФИЦИАЛЬНОЕ ОПУБЛИКОВАНИЕ
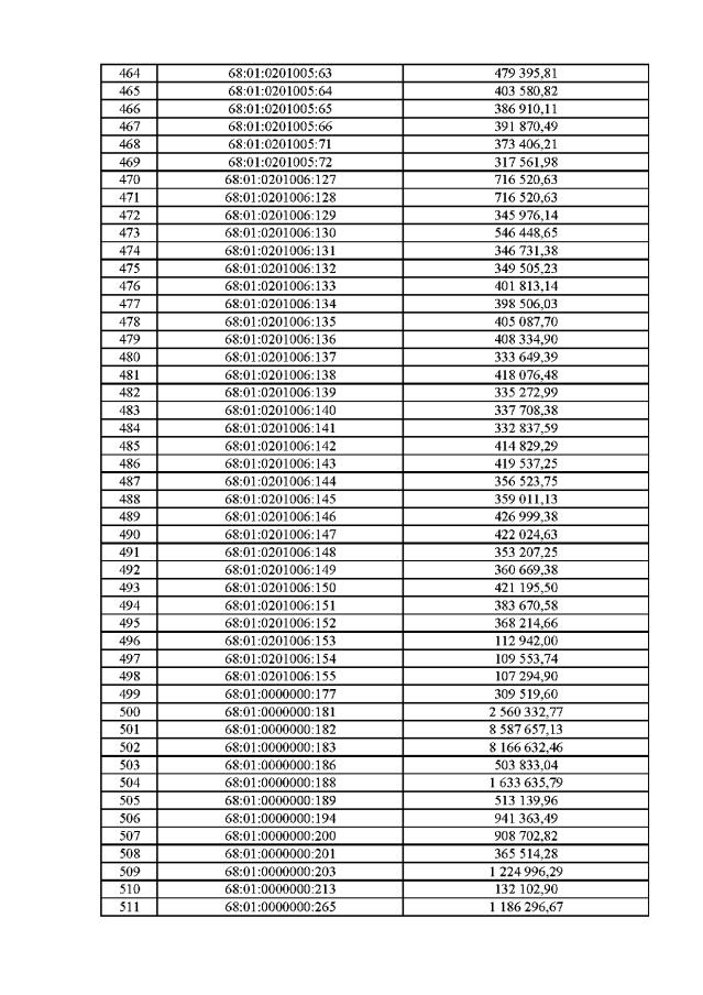
Приказ Комитета по управлению имуществом Тамбовской области от 17.11.2020 № 667
"Об утверждении результатов определения кадастровой стоимости объектов недвижимости (за исключением земельных участков), расположенных на территории Тамбовской области"
Номер опубликования: 6801202011200003
Дата опубликования: 20.11.2020
Страница №12 из 15045:
Увеличить