Официальное опубликование правовых актов
ОФИЦИАЛЬНОЕ ОПУБЛИКОВАНИЕ
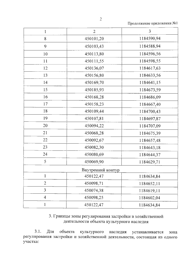
Приказ Управления по государственной охране объектов культурного наследия Тамбовской области от 13.11.2020 № 373
"Об установлении зон охраны объекта культурного наследия регионального значения "Здание административное" (Тамбовская область, г.Мичуринск‚ ул.Советская‚ д.292) и утверждении требований к градостроительным регламентам в границах территорий данных зон"
Номер опубликования: 6801202011160005
Дата опубликования: 16.11.2020
Страница №4 из 11:
Увеличить