Официальное опубликование правовых актов
ОФИЦИАЛЬНОЕ ОПУБЛИКОВАНИЕ
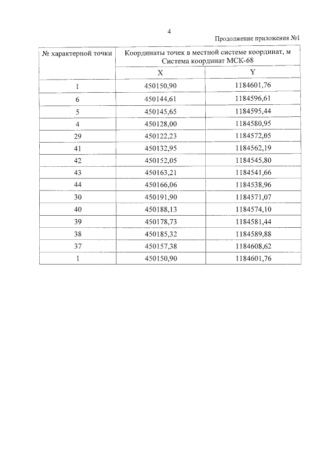
Приказ Управления по государственной охране объектов культурного наследия Тамбовской области от 13.11.2020 № 374
"Об установлении зон охраны объекта культурного наследия регионального значения "Дом жилой" (Тамбовская область, г.Мичуринск, ул.Революционная, д.64) и утверждении требований к градостроительным регламентам в границах территорий данных зон"
Номер опубликования: 6801202011160001
Дата опубликования: 16.11.2020
Страница №6 из 12:
Увеличить