Официальное опубликование правовых актов
ОФИЦИАЛЬНОЕ ОПУБЛИКОВАНИЕ
Приказ Управления по государственной охране объектов культурного наследия Тамбовской области от 25.09.2020 № 330
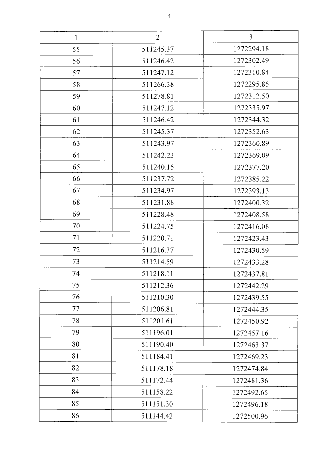
"О внесении изменений в приложение к приказу управления по государственной охране объектов культурного наследия области от 18.06.2020 № 228 "Об утверждении графического описания местоположения границ защитной зоны объекта культурного наследия регионального значения "Гражданское здание" (Тамбовская область, г.Моршанск, ул.Лотикова/ул.Советская, д.85/8) с перечнем координат характерных точек этих границ в системе координат, установленной для ведения Единого государственного реестра недвижимости, и режима использования земель в границах данной защитной зоны"
Номер опубликования: 6801202009280004
Дата опубликования: 28.09.2020
Страница №5 из 8:
Увеличить