Официальное опубликование правовых актов
ОФИЦИАЛЬНОЕ ОПУБЛИКОВАНИЕ
Приказ Управления культуры и архивного дела Тамбовской области от 18.09.2020 № 158
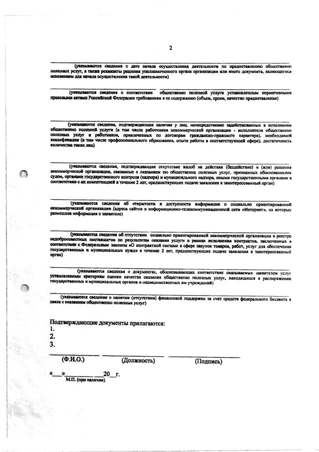
"Об утверждении административного регламента предоставления государственной услуги "Оценка качества оказываемых социально ориентированной некоммерческой организацией общественно полезных услуг"
Номер опубликования: 6801202009230003
Дата опубликования: 23.09.2020
Страница №34 из 40:
Увеличить