Приказ Управления по государственной охране объектов культурного наследия Тамбовской области от 26.08.2020 № 295
"О внесении изменения в приложение № 1 к приказу управления по государственной охране объектов культурного наследия области от 02.04.2018 № 61 "Об утверждении границ и режима использования территории объекта культурного наследия регионального значения "Комплекс зданий: бывший дом Архиерея, здание бывшей духовной консистории, бывший жилой дом" (Тамбовская область, г. Тамбов, ул. М. Горького, 3, ул. Сергея Рахманинова, 2б, 2)"
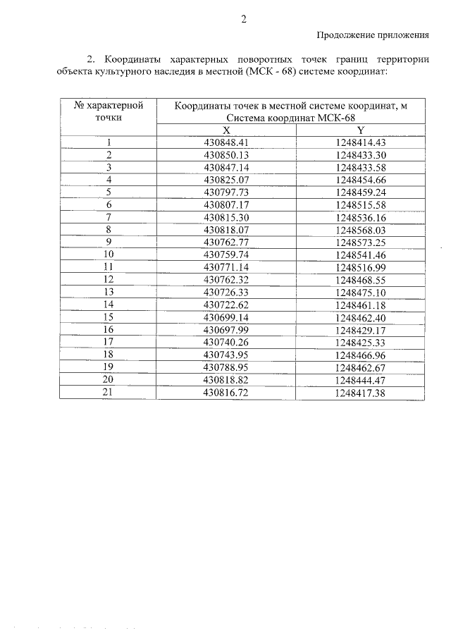
"О внесении изменения в приложение № 1 к приказу управления по государственной охране объектов культурного наследия области от 02.04.2018 № 61 "Об утверждении границ и режима использования территории объекта культурного наследия регионального значения "Комплекс зданий: бывший дом Архиерея, здание бывшей духовной консистории, бывший жилой дом" (Тамбовская область, г. Тамбов, ул. М. Горького, 3, ул. Сергея Рахманинова, 2б, 2)"
Номер опубликования: 6801202008270004
Дата опубликования:
27.08.2020
