Приказ Управления по государственной охране объектов культурного наследия Тамбовской области от 18.06.2020 № 226
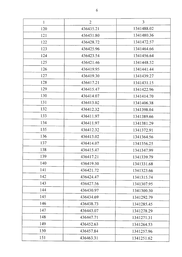
"Об утверждении графического описания местоположения границ защитной зоны объекта культурного наследия регионального значения "Дом со столовой, построенный первыми коммунарами Ирской коммуны" (Тамбовская область, Кирсановский район, с.Ленинское, ул. Центральная, д.10) с перечнем координат характерных точек этих границ в системе координат, установленной для ведения Единого государственного реестра недвижимости, и режима использования земель в границах данной защитной зоны"
"Об утверждении графического описания местоположения границ защитной зоны объекта культурного наследия регионального значения "Дом со столовой, построенный первыми коммунарами Ирской коммуны" (Тамбовская область, Кирсановский район, с.Ленинское, ул. Центральная, д.10) с перечнем координат характерных точек этих границ в системе координат, установленной для ведения Единого государственного реестра недвижимости, и режима использования земель в границах данной защитной зоны"
Номер опубликования: 6801202006190005
Дата опубликования:
19.06.2020
