Приказ Управления по государственной охране объектов культурного наследия Тамбовской области от 18.06.2020 № 228
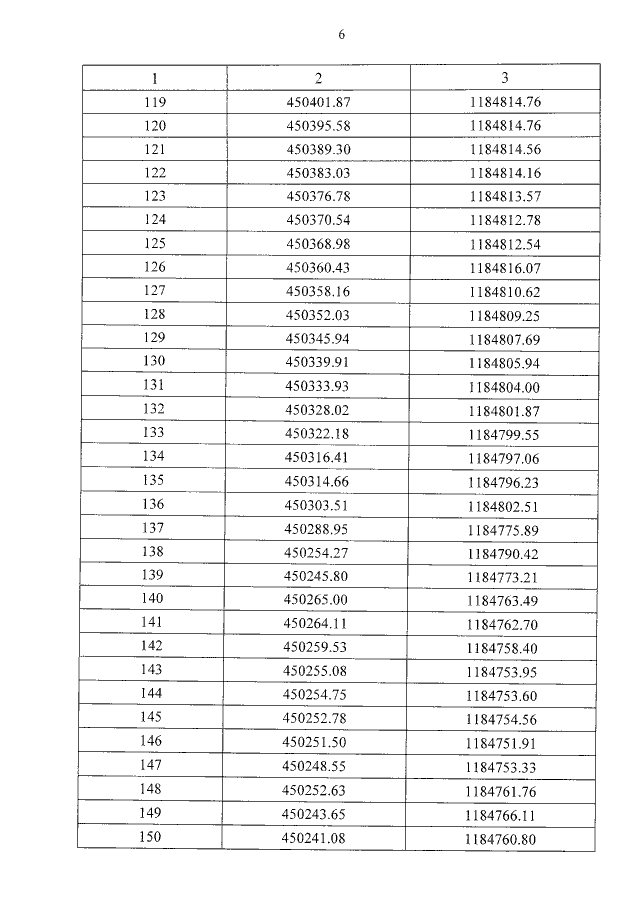
"Об утверждении графического описания местоположения границ защитной зоны объекта культурного наследия регионального значения "Гражданское здание" (Тамбовская область, г. Моршанск, ул.Лотикова/ул.Советская, д.85/8) с перечнем координат характерных точек этих границ в системе координат, установленной для ведения Единого государственного реестра недвижимости, и режима использования земель в границах данной защитной зоны"
"Об утверждении графического описания местоположения границ защитной зоны объекта культурного наследия регионального значения "Гражданское здание" (Тамбовская область, г. Моршанск, ул.Лотикова/ул.Советская, д.85/8) с перечнем координат характерных точек этих границ в системе координат, установленной для ведения Единого государственного реестра недвижимости, и режима использования земель в границах данной защитной зоны"
Номер опубликования: 6801202006190002
Дата опубликования:
19.06.2020
