Официальное опубликование правовых актов
ОФИЦИАЛЬНОЕ ОПУБЛИКОВАНИЕ
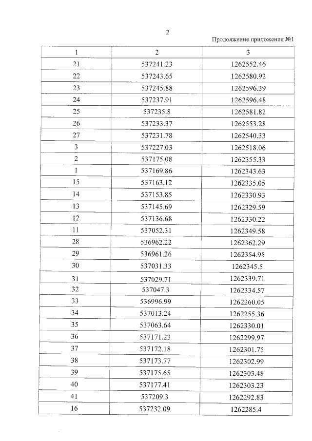
Приказ Управления по государственной охране объектов культурного наследия Тамбовской области от 22.05.2020 № 164
"Об установлении зон охраны объекта культурного наследия регионального значения "Ильинский храм" (Тамбовская область, Моршанский район, с.Алгасово, ул.1-я Базарная, д.53) и утверждении требований к градостроительным регламентам в границах территорий данных зон"
Номер опубликования: 6801202005220011
Дата опубликования: 22.05.2020
Страница №4 из 14:
Увеличить