Официальное опубликование правовых актов
ОФИЦИАЛЬНОЕ ОПУБЛИКОВАНИЕ
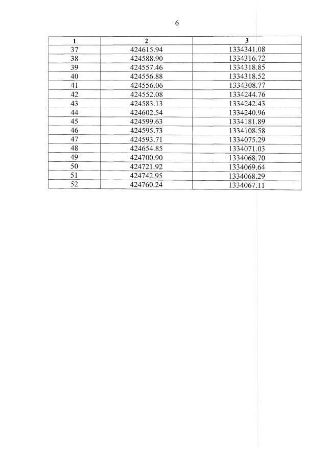
Приказ Управления по государственной охране объектов культурного наследия Тамбовской области от 13.04.2020 № 129
"О включении выявленного объекта культурного наследия "Достопримечательное место "Кирсановский Тихвино-Богородицкий женский монастырь" в единый государственный реестр объектов культурного наследия (памятников истории и культуры) народов Российской Федерации в качестве объекта культурного наследия регионального значения"
Номер опубликования: 6801202004130001
Дата опубликования: 13.04.2020
Страница №8 из 8:
Увеличить