Официальное опубликование правовых актов
ОФИЦИАЛЬНОЕ ОПУБЛИКОВАНИЕ
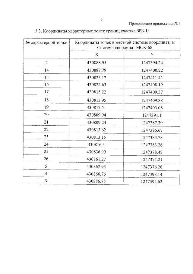
Приказ Управления по государственной охране объектов культурного наследия Тамбовской области от 06.04.2020 № 117
"Об установлении зон охраны объекта культурного наследия регионального значения "Дом купца С.М.Петина" (Тамбовская область, г.Тамбов, ул.Коммунальная, д.38) и утверждении требований к градостроительным регламентам в границах территорий данных зон"
Номер опубликования: 6801202004070003
Дата опубликования: 07.04.2020
Страница №5 из 11:
Увеличить