Официальное опубликование правовых актов
ОФИЦИАЛЬНОЕ ОПУБЛИКОВАНИЕ
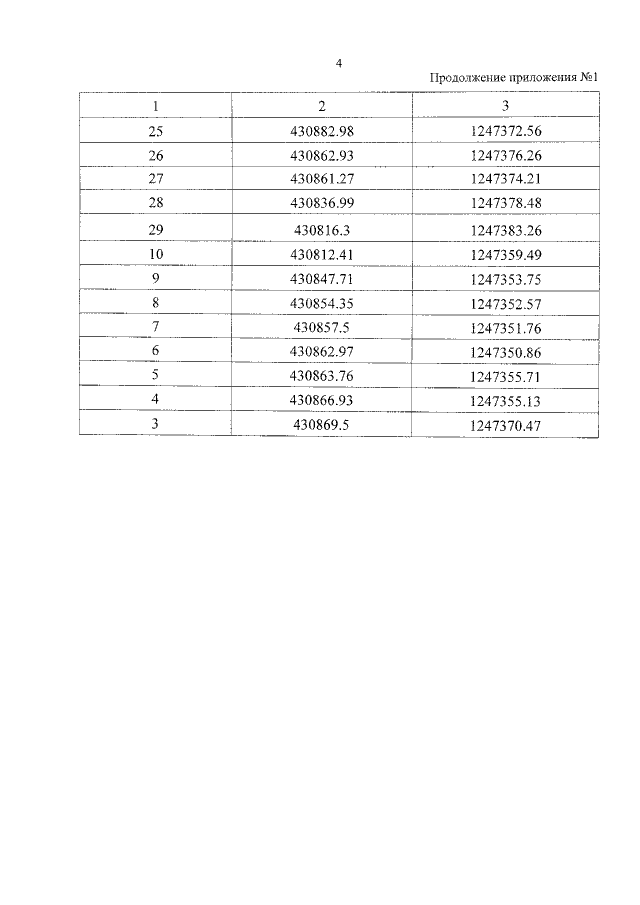
Приказ Управления по государственной охране объектов культурного наследия Тамбовской области от 06.04.2020 № 116
"Об установлении зон охраны объекта культурного наследия регионального значения "Дом жилой" (Тамбовская область, г. Тамбов, ул.Коммунальная/ул.Красная, д.40/7) и утверждении требований к градостроительным регламентам в границах территорий данных зон"
Номер опубликования: 6801202004070001
Дата опубликования: 07.04.2020
Страница №6 из 12:
Увеличить