Официальное опубликование правовых актов
ОФИЦИАЛЬНОЕ ОПУБЛИКОВАНИЕ
Приказ Управления по государственной охране объектов культурного наследия Тамбовской области от 11.02.2020 № 43
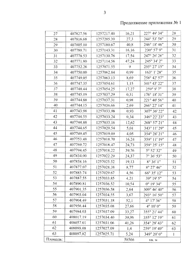
"Об утверждении границ территории и режима использования территории выявленного объекта культурного наследия "Сухотинский Знаменский женский монастырь. Иверская церковь. Трапезная с домовой церковью" (Тамбовская область, Знаменский район, с. Сухотинка, ул. Суренка, 88)"
Номер опубликования: 6801202002120003
Дата опубликования: 12.02.2020
Страница №4 из 6:
Увеличить