Официальное опубликование правовых актов
ОФИЦИАЛЬНОЕ ОПУБЛИКОВАНИЕ
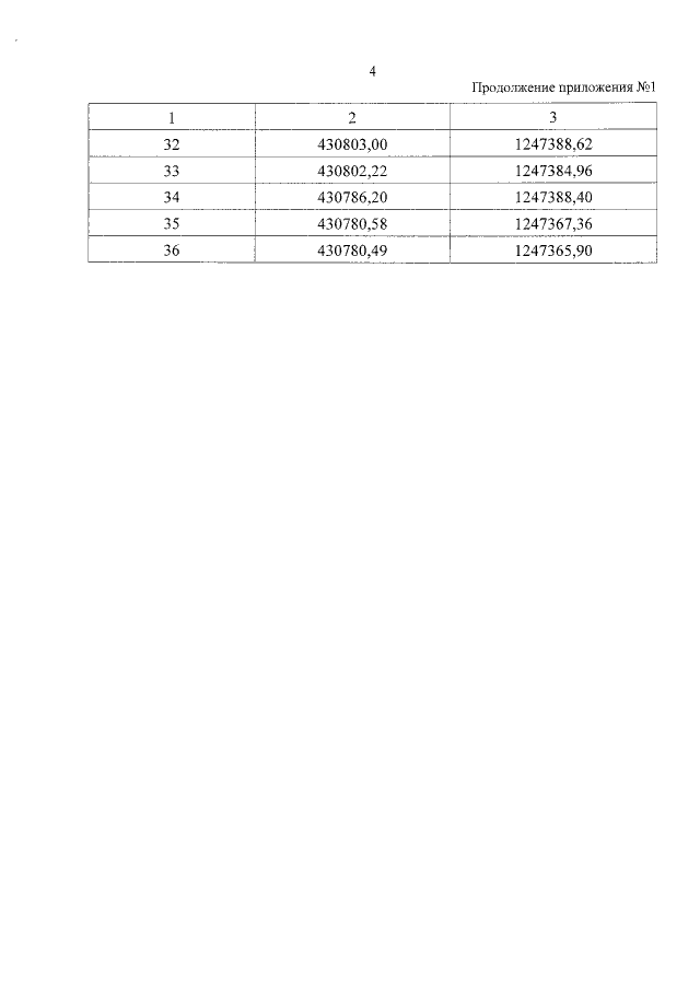
Приказ Управления по государственной охране объектов культурного наследия Тамбовской области от 23.01.2020 № 30
"Об установлении зон охраны объекта культурного наследия регионального значения "Дом купца II гильдии В.К.Венедиктова" (Тамбовская область, г.Тамбов, ул.Интернациональная‚ д.43; ул.Интернациональная/ул.Красная, д.43/1) и утверждении требований к градостроительным регламентам в границах территорий данных зон"
Номер опубликования: 6801202001270011
Дата опубликования: 27.01.2020
Страница №6 из 12:
Увеличить