Официальное опубликование правовых актов
ОФИЦИАЛЬНОЕ ОПУБЛИКОВАНИЕ
Приказ Управления по государственной охране объектов культурного наследия Тамбовской области от 23.01.2020 № 31
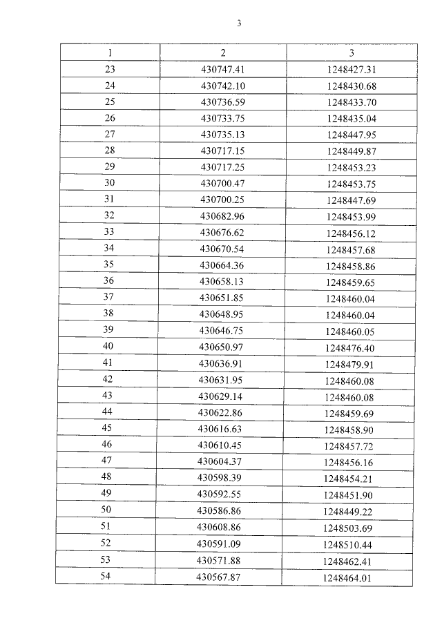
"Об утверждении графического описания местоположения границ защитной зоны объекта культурного наследия регионального значения "Здание губернской земской управы" (Тамбовская область, г.Тамбов, ул.Советская/ул.М.Горького, д.106/5) с перечнем координат характерных точек этих границ в системе координат, установленной для ведения Единого государственного реестра недвижимости, и режима использования земель в границах данной защитной зоны"
Номер опубликования: 6801202001270003
Дата опубликования: 27.01.2020
Страница №5 из 8:
Увеличить