Приказ Управления по государственной охране объектов культурного наследия Тамбовской области от 23.01.2020 № 28
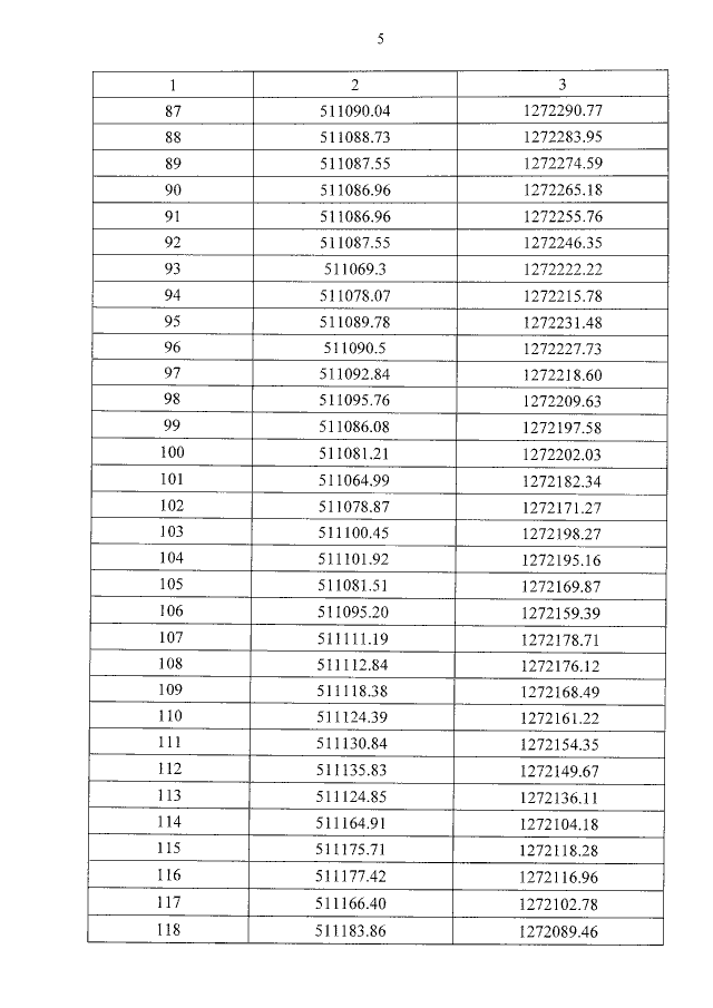
"Об утверждении графического описания местоположения границ защитной зоны объекта культурного наследия регионального значения "Ансамбль общественных зданий: Здание трехэтажное. Здание двухэтажное" (Тамбовская область, г.Моршанск, ул.Ленина, д.44) с перечнем координат характерных точек этих границ в системе координат, установленной для ведения Единого государственного реестра недвижимости, и режима использования земель в границах данной защитной зоны"
"Об утверждении графического описания местоположения границ защитной зоны объекта культурного наследия регионального значения "Ансамбль общественных зданий: Здание трехэтажное. Здание двухэтажное" (Тамбовская область, г.Моршанск, ул.Ленина, д.44) с перечнем координат характерных точек этих границ в системе координат, установленной для ведения Единого государственного реестра недвижимости, и режима использования земель в границах данной защитной зоны"
Номер опубликования: 6801202001270001
Дата опубликования:
27.01.2020
