Официальное опубликование правовых актов
ОФИЦИАЛЬНОЕ ОПУБЛИКОВАНИЕ
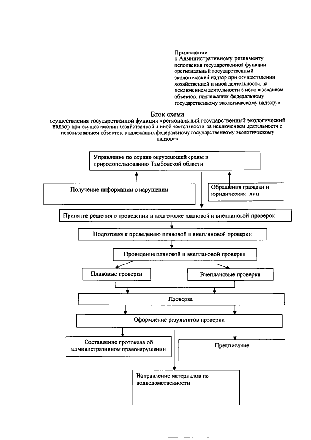
Приказ Управления по охране окружающей среды и природопользованию Тамбовской области от 13.01.2020 № 04
"О внесении изменений в административный регламент исполнения государственной функции "региональный государственный экологический надзор при осуществлении хозяйственной и иной деятельности, за исключением деятельности с использованием объектов, подлежащих федеральному государственному экологическому надзору"
Номер опубликования: 6801202001210001
Дата опубликования: 21.01.2020
Страница №25 из 25:
Увеличить