Официальное опубликование правовых актов
ОФИЦИАЛЬНОЕ ОПУБЛИКОВАНИЕ
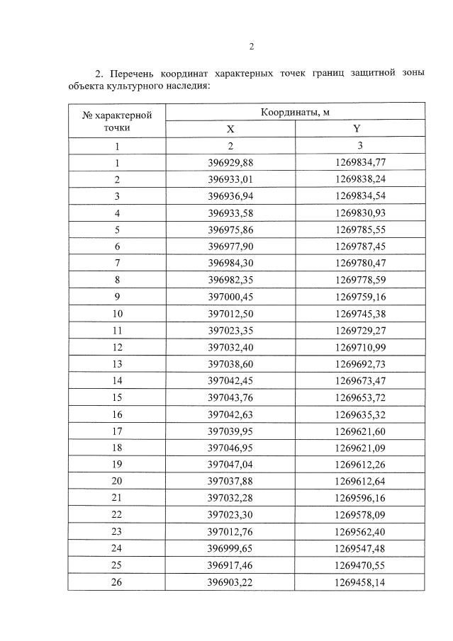
Приказ Управления по государственной охране объектов культурного наследия Тамбовской области от 02.12.2019 № 328
"Об утверждении графического описания местоположения границ защитной зоны объекта культурного наследия регионального значения "Дворянская усадьба II пол. ХIХ в. Ансамбль" (Тамбовская область, Сампурский район, с.Перикса) с перечнем координат характерных точек этих границ в системе координат, установленной для ведения Единого государственного реестра недвижимости, и режима использования земель в границах данной защитной зоны"
Номер опубликования: 6801201912020005
Дата опубликования: 02.12.2019
Страница №4 из 6:
Увеличить