Приказ Управления по государственной охране объектов культурного наследия Тамбовской области от 05.11.2019 № 296
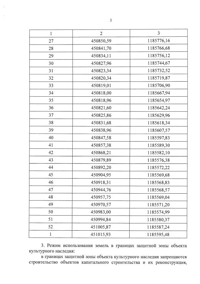
"Об утверждении графического описания местоположения границ защитной зоны объекта культурного наследия регионального значения "Дом Яковлева" (Тамбовская область, г.Мичуринск, Основной питомник, д.10) с перечнем координат характерных точек этих границ в системе координат, установленной для ведения Единого государственного реестра недвижимости, и режима использования земель в границах данной защитной зоны"
"Об утверждении графического описания местоположения границ защитной зоны объекта культурного наследия регионального значения "Дом Яковлева" (Тамбовская область, г.Мичуринск, Основной питомник, д.10) с перечнем координат характерных точек этих границ в системе координат, установленной для ведения Единого государственного реестра недвижимости, и режима использования земель в границах данной защитной зоны"
Номер опубликования: 6801201911080006
Дата опубликования:
08.11.2019
