Официальное опубликование правовых актов
ОФИЦИАЛЬНОЕ ОПУБЛИКОВАНИЕ
Приказ Управления топливно-энергетического комплекса и жилищно-коммунального хозяйства Тамбовской области от 21.10.2019 № 125
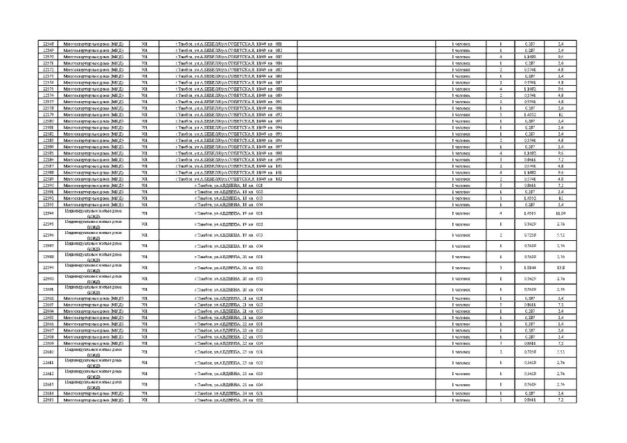
"О внесении изменений в приказ управления топливно-энергетического комплекса и жилищно-коммунального хозяйства области от 02.03.2017 № 19 "Об утверждении Территориальной схемы Тамбовской области по обращению с отходами, в том числе с твердыми коммунальными отходами" и утверждении Территориальной схемы Тамбовской области в области обращения с отходами производства и потребления, в том числе с твердыми коммунальными отходами в новой редакции"
Номер опубликования: 6801201910230004
Дата опубликования: 23.10.2019
Страница №620 из 14810:
Увеличить