Официальное опубликование правовых актов
ОФИЦИАЛЬНОЕ ОПУБЛИКОВАНИЕ
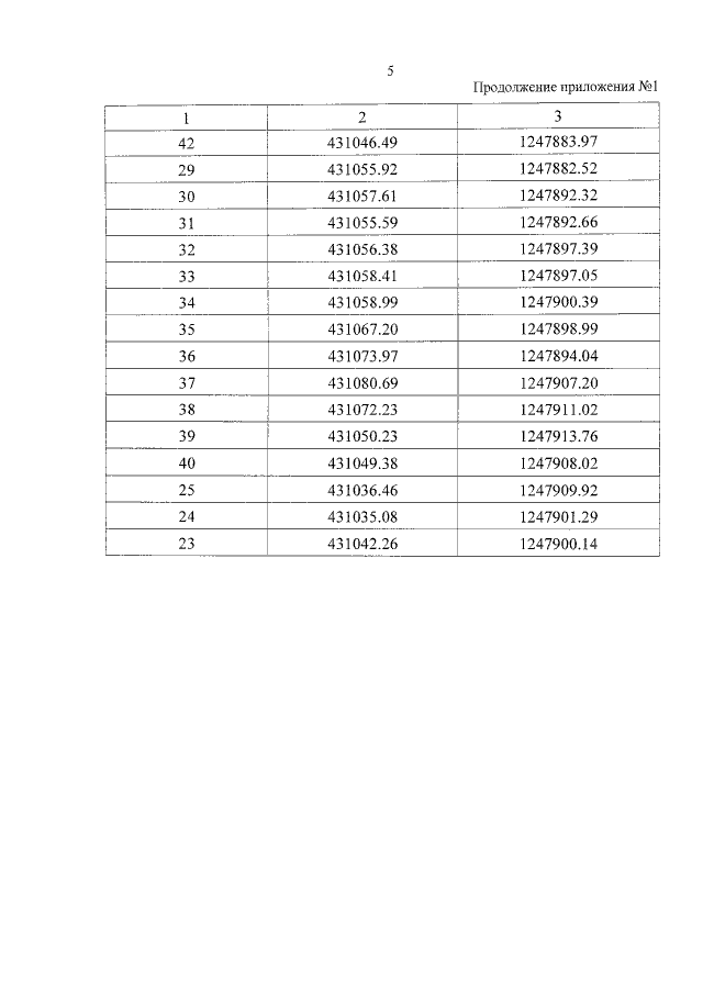
Приказ Управления по государственной охране объектов культурного наследия Тамбовской области от 01.10.2019 № 211
"Об установлении зон охраны объекта культурного наследия регионального значения "Дом жилой" (Тамбовская область, г.Тамбов, ул.Коммунальная, д.13) и утверждении требований к градостроительным регламентам в границах территорий данных зон"
Номер опубликования: 6801201910020008
Дата опубликования: 02.10.2019
Страница №7 из 13:
Увеличить