Официальное опубликование правовых актов
ОФИЦИАЛЬНОЕ ОПУБЛИКОВАНИЕ
Приказ Управления по государственной охране объектов культурного наследия Тамбовской области от 01.10.2019 № 209
"Об установлении зон охраны объекта культурного наследия регионального значения "Дом жилой" (Тамбовская область, г.Тамбов, ул.Коммунальная, д.19) и утверждении требований к градостроительным регламентам в границах территорий данных зон"
Номер опубликования: 6801201910020005
Дата опубликования: 02.10.2019
Страница №7 из 13:
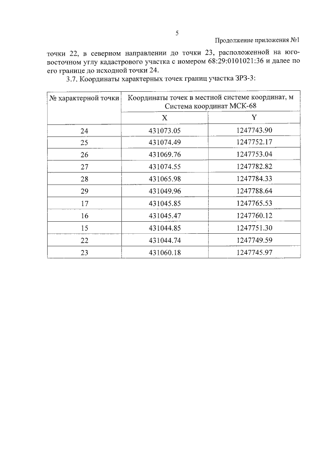
Увеличить