Официальное опубликование правовых актов
ОФИЦИАЛЬНОЕ ОПУБЛИКОВАНИЕ
Приказ Управления по государственной охране объектов культурного наследия Тамбовской области от 20.09.2019 № 197
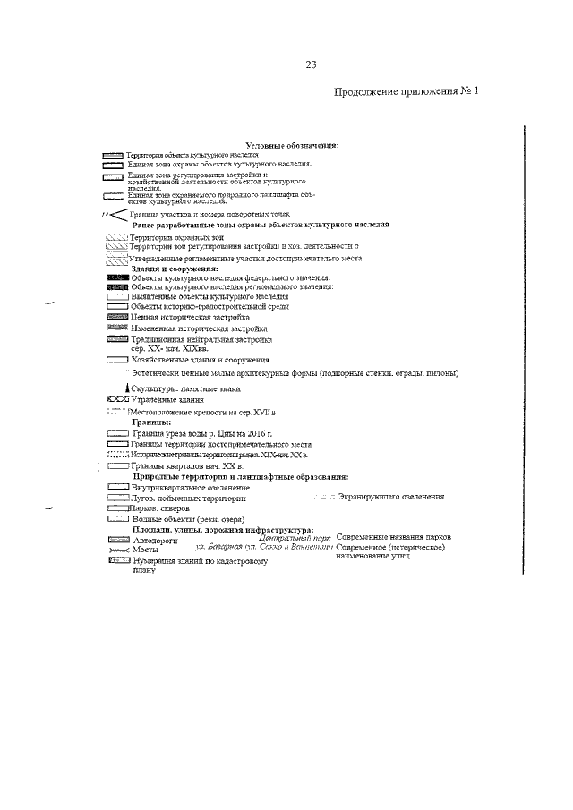
"Об установлении объединенной зоны охраны объектов культурного наследия федерального значения: "Преображенский собор" (пл.Соборная‚ д.4); "Гостиный двор" (ул.Советская, д.101) и регионального значения, расположенных в кварталах, ограниченных улицами Коммунальная, Карла Маркса, Куйбышева, Бориса Васильева, Рассказовское шоссе, канал р.Цна г.Тамбова, и утверждении требований к градостроительным регламентам в границах территорий данной зоны"
Номер опубликования: 6801201909240001
Дата опубликования: 24.09.2019
Страница №26 из 35:
Увеличить