Официальное опубликование правовых актов
ОФИЦИАЛЬНОЕ ОПУБЛИКОВАНИЕ
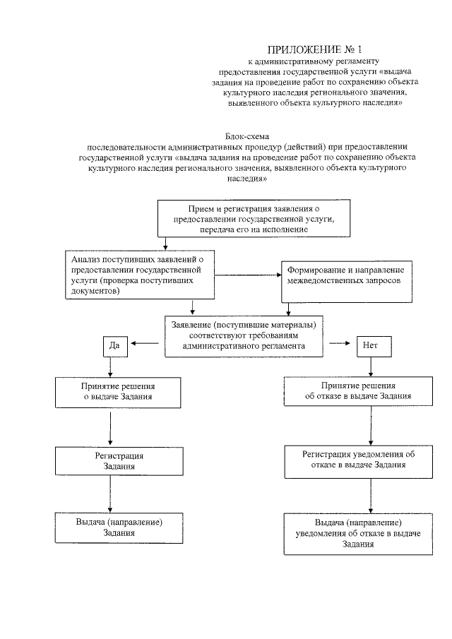
Приказ Управления по государственной охране объектов культурного наследия Тамбовской области от 07.06.2019 № 106
"Об утверждении административного регламента предоставления государственной услуги "выдача задания на проведение работ по сохранению объекта культурного наследия регионального значения, выявленного объекта культурного наследия"
Номер опубликования: 6801201906130007
Дата опубликования: 13.06.2019
Страница №23 из 24:
Увеличить