Официальное опубликование правовых актов
ОФИЦИАЛЬНОЕ ОПУБЛИКОВАНИЕ
Приказ Управления по государственной охране объектов культурного наследия Тамбовской области от 07.06.2019 № 109
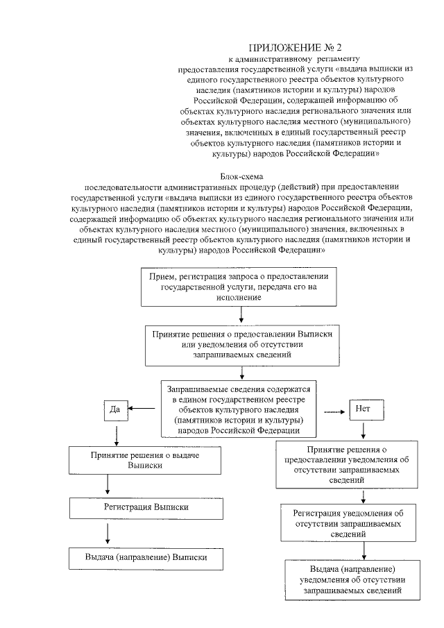
"Об утверждении административного регламента предоставления государственной услуги "выдача выписки из единого государственного реестра объектов культурного наследия (памятников истории и культуры) народов Российской Федерации, содержащей информацию об объектах культурного наследия регионального значения или объектах культурного наследия местного (муниципального) значения, включенных в единый государственный реестр объектов культурного наследия (памятников истории и культуры) народов Российской Федерации"
Номер опубликования: 6801201906130003
Дата опубликования: 13.06.2019
Страница №23 из 24:
Увеличить