Приказ Управления градостроительства и архитектуры Тамбовской области от 07.06.2019 № 200-О
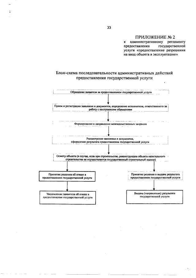
"Об утверждении административного регламента предоставления государственной услуги "предоставление разрешения на ввод объекта в эксплуатацию"
"Об утверждении административного регламента предоставления государственной услуги "предоставление разрешения на ввод объекта в эксплуатацию"
Номер опубликования: 6801201906130001
Дата опубликования:
13.06.2019
