Официальное опубликование правовых актов
ОФИЦИАЛЬНОЕ ОПУБЛИКОВАНИЕ
Приказ Управления градостроительства и архитектуры Тамбовской области от 08.04.2019 № 112-О
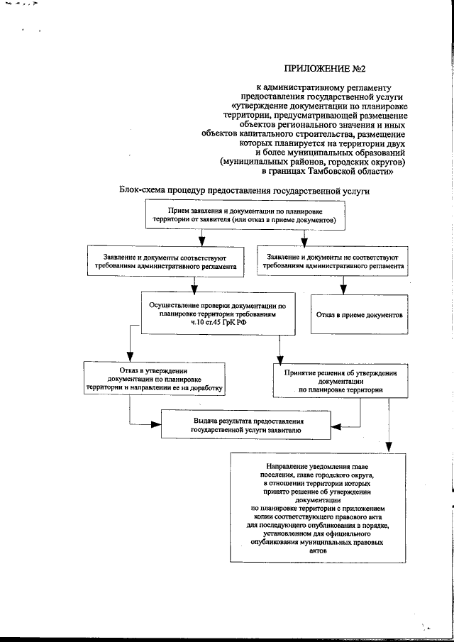
"Об утверждении административного регламента предоставления государственной услуги "утверждение документации по планировке территории, предусматривающей размещение объектов регионального значения и иных объектов капитального строительства, размещение которых планируется на территории двух и более муниципальных образований (муниципальных районов, городских округов) в границах Тамбовской области"
Номер опубликования: 6801201904090005
Дата опубликования: 09.04.2019
Страница №22 из 22:
Увеличить