Приказ Управления по регулированию тарифов Тамбовской области от 19.02.2019 № 15-т
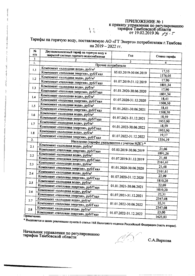
"Об установлении тарифов на горячую воду, поставляемую акционерным обществом "ГТ Энерго" потребителям г. Тамбова‚ на 2019-2022 гг."
"Об установлении тарифов на горячую воду, поставляемую акционерным обществом "ГТ Энерго" потребителям г. Тамбова‚ на 2019-2022 гг."
Номер опубликования: 6801201902220001
Дата опубликования:
22.02.2019
