Официальное опубликование правовых актов
ОФИЦИАЛЬНОЕ ОПУБЛИКОВАНИЕ
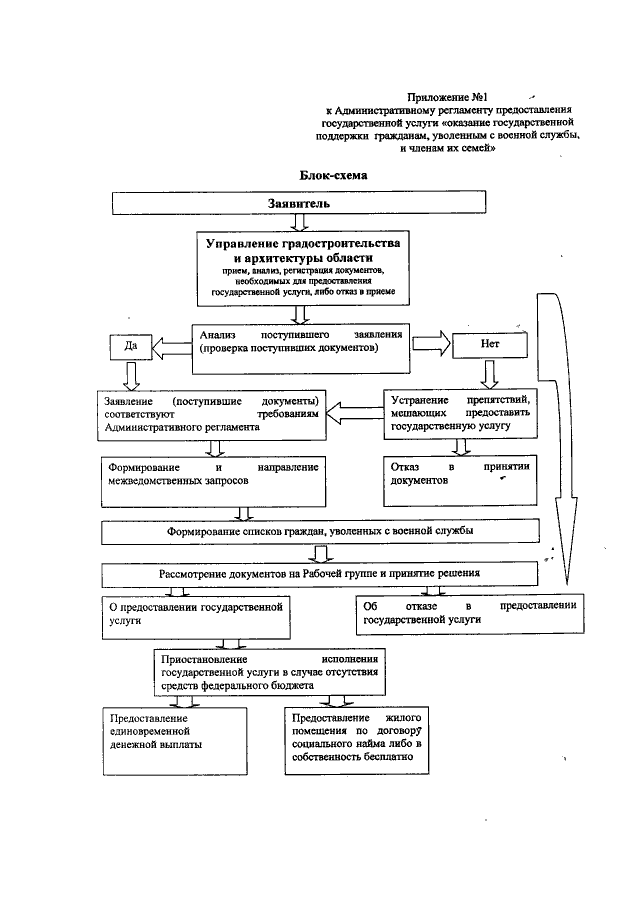
Приказ Управления градостроительства и архитектуры Тамбовской области от 28.12.2018 № 359-О
"Об утверждении административного регламента предоставления государственной услуги "оказание государственной поддержки гражданам, уволенным с военной службы и членам их семей" и признании утратившими силу приказов управления строительства и инвестиций Тамбовской области"
Номер опубликования: 6801201812290010
Дата опубликования: 29.12.2018
Страница №32 из 35:
Увеличить