Официальное опубликование правовых актов
ОФИЦИАЛЬНОЕ ОПУБЛИКОВАНИЕ
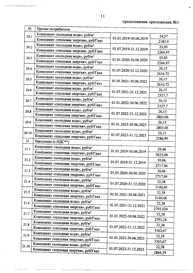
Приказ Управления по регулированию тарифов Тамбовской области от 18.12.2018 № 171-т
"Об установлении тарифов на горячую воду на 2019 - 2023 гг."
Номер опубликования: 6801201812210007
Дата опубликования: 21.12.2018
Страница №12 из 26:
Увеличить