Официальное опубликование правовых актов
ОФИЦИАЛЬНОЕ ОПУБЛИКОВАНИЕ
Приказ Управления по охране окружающей среды и природопользованию Тамбовской области от 29.11.2018 № 777
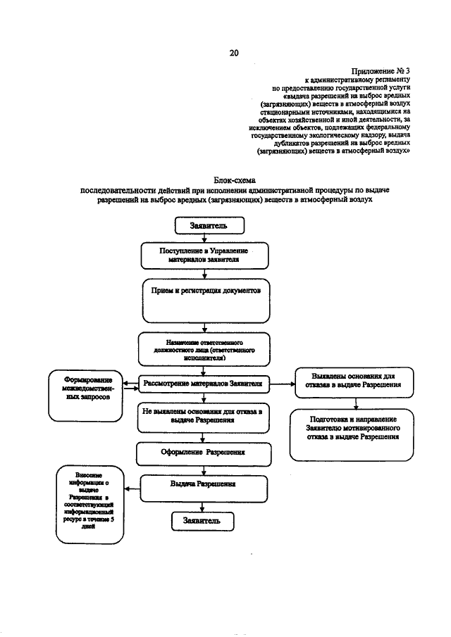
"Об утверждении административного регламента предоставления государственной услуги "выдача разрешений на выброс вредных (загрязняющих) веществ в атмосферный воздух стационарными источниками, находящимися на объектах хозяйственной и иной деятельности, за исключением объектов, подлежащих федеральному государственному экологическому надзору, выдача дубликатов разрешений на выброс вредных (загрязняющих) веществ в атмосферный воздух"
Номер опубликования: 6801201812030007
Дата опубликования: 03.12.2018
Страница №22 из 25:
Увеличить