Официальное опубликование правовых актов
ОФИЦИАЛЬНОЕ ОПУБЛИКОВАНИЕ
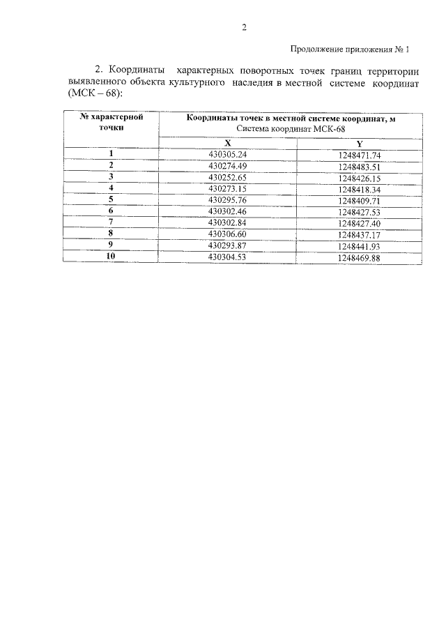
Приказ Управления по государственной охране объектов культурного наследия Тамбовской области от 28.11.2018 № 291
"Об утверждении границ и режима использования территории выявленного объекта культурного наследия "Доходный дом" (Тамбовская область, г. Тамбов, ул. Советская/ ул. Ленинградская, 90/15)"
Номер опубликования: 6801201811290007
Дата опубликования: 29.11.2018
Страница №3 из 4:
Увеличить