Официальное опубликование правовых актов
ОФИЦИАЛЬНОЕ ОПУБЛИКОВАНИЕ
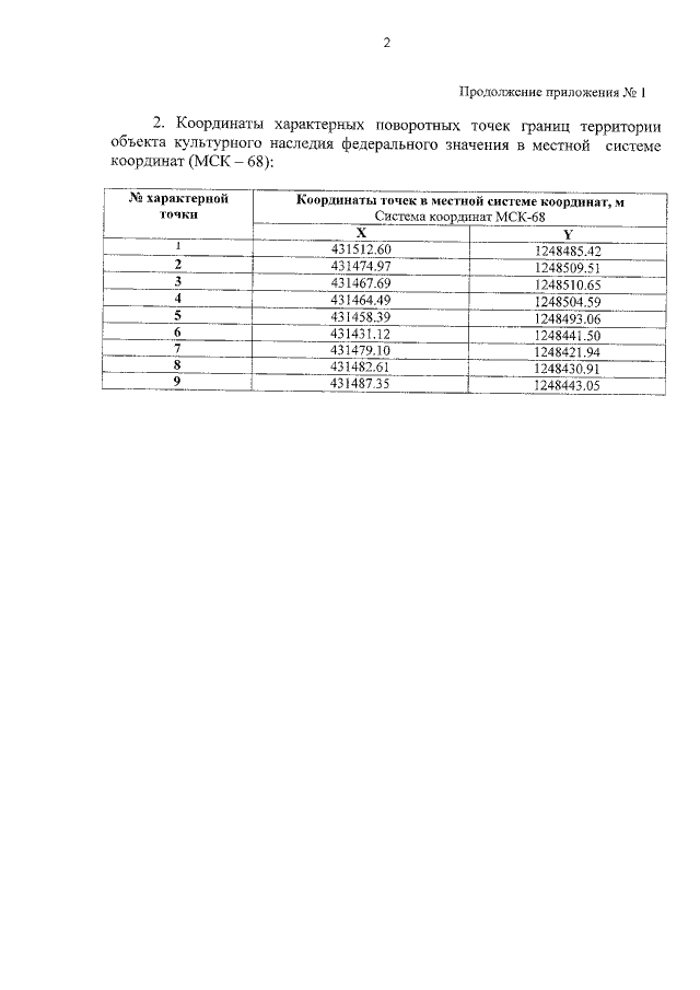
Приказ Управления по государственной охране объектов культурного наследия Тамбовской области от 28.11.2018 № 283
"О внесении изменений в приказ управления по государственной охране объектов культурного наследия области от 25.05.2017 № 119 "Об утверждении границ и режима использования территории объекта культурного наследия федерального значения "Преображенский собор" (Тамбовская область, г. Тамбов, пл. Соборная, 4)"
Номер опубликования: 6801201811290003
Дата опубликования: 29.11.2018
Страница №3 из 4:
Увеличить