Официальное опубликование правовых актов
ОФИЦИАЛЬНОЕ ОПУБЛИКОВАНИЕ
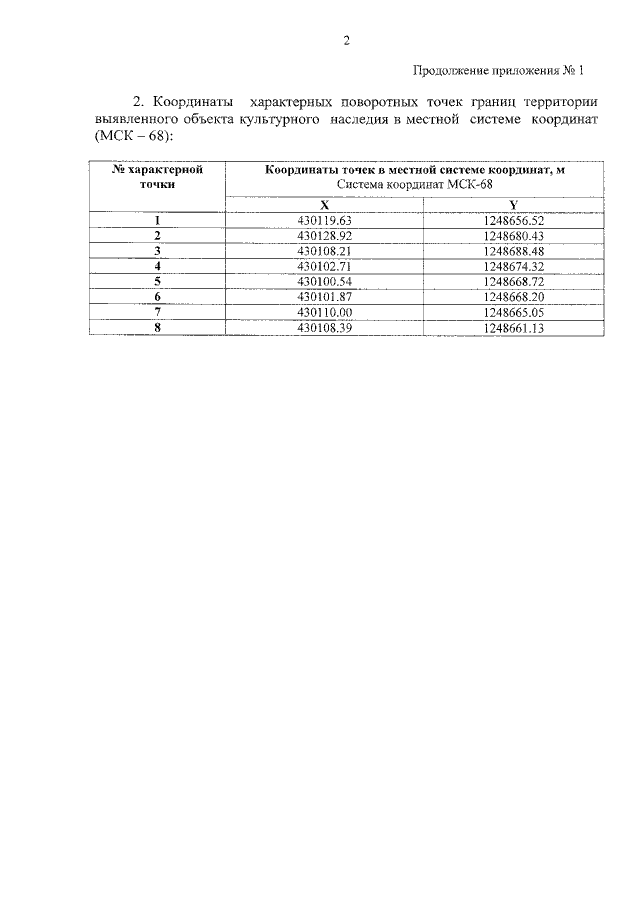
Приказ Управления по государственной охране объектов культурного наследия Тамбовской области от 28.11.2018 № 290
"Об утверждении границ и режима использования территории выявленного объекта культурного наследия "Дом жилой" (Тамбовская область, г. Тамбов, ул. Кронштадтская, 4)"
Номер опубликования: 6801201811290001
Дата опубликования: 29.11.2018
Страница №3 из 5:
Увеличить