Официальное опубликование правовых актов
ОФИЦИАЛЬНОЕ ОПУБЛИКОВАНИЕ
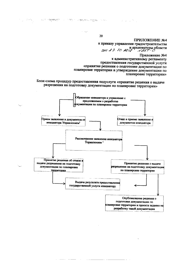
Приказ Управления градостроительства и архитектуры Тамбовской области от 23.10.2018 № 261-О
"О внесении изменений в приказ управления градостроительства и архитектуры Тамбовской области от 26.10.2017 №164-О "Об утверждении административного регламента предоставления государственной услуги "подготовка и утверждение документации по планировке территории"
Номер опубликования: 6801201810300002
Дата опубликования: 30.10.2018
Страница №20 из 21:
Увеличить