Официальное опубликование правовых актов
ОФИЦИАЛЬНОЕ ОПУБЛИКОВАНИЕ
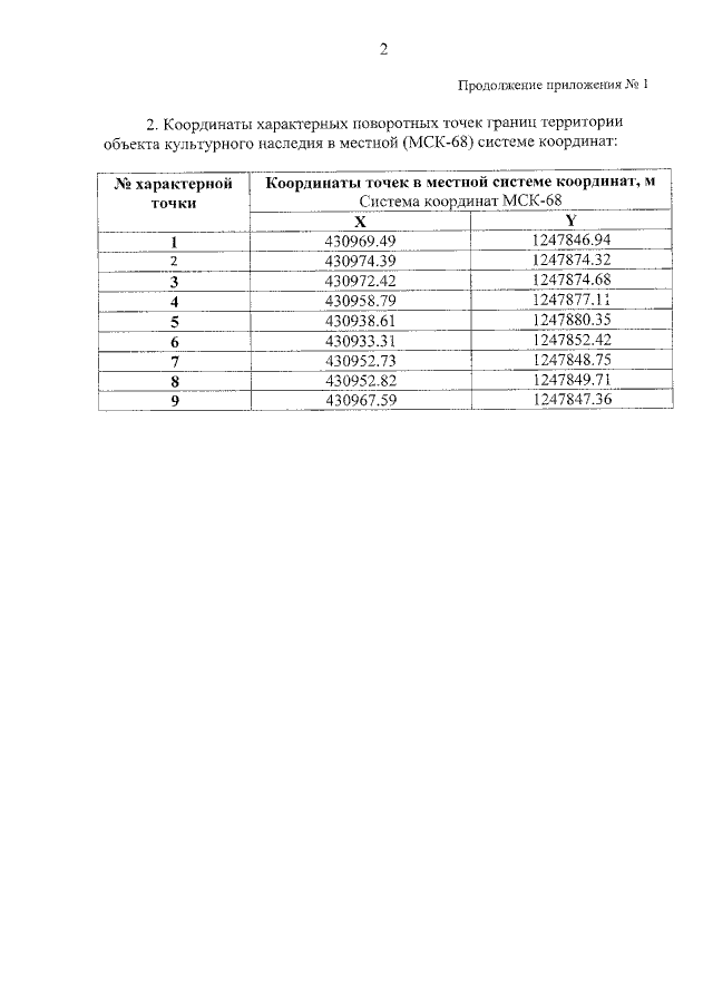
Приказ Управления по государственной охране объектов культурного наследия Тамбовской области от 15.10.2018 № 251
"Об утверждении границ и режима использования территории выявленного объекта культурного наследия "Дом жилой с магазином" (Тамбовская область, г. Тамбов, ул. Коммунальная, 14)"
Номер опубликования: 6801201810170001
Дата опубликования: 17.10.2018
Страница №3 из 5:
Увеличить