Официальное опубликование правовых актов
ОФИЦИАЛЬНОЕ ОПУБЛИКОВАНИЕ
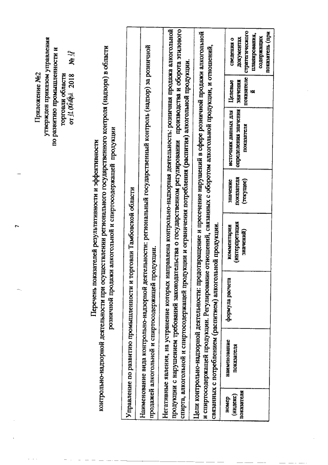
Приказ Управления по развитию промышленности и торговли Тамбовской области от 12.10.2018 № 18
"Об утверждении порядка (методики) оценки результативности и эффективности контрольной (надзорной) деятельности при осуществлении регионального государственного контроля (надзора) в области розничной продажи алкогольной и спиртосодержащей продукции и лицензионного контроля за заготовкой, хранением, переработкой и реализацией лома черных металлов, цветных металлов"
Номер опубликования: 6801201810160003
Дата опубликования: 16.10.2018
Страница №7 из 33:
Увеличить