Официальное опубликование правовых актов
ОФИЦИАЛЬНОЕ ОПУБЛИКОВАНИЕ
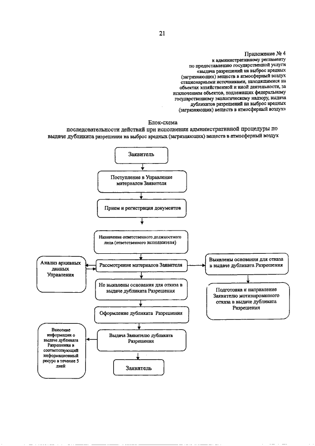
Приказ Управления по охране окружающей среды и природопользованию Тамбовской области от 05.10.2018 № 687
"Об утверждении административного регламента предоставления государственной услуги "выдача разрешений на выброс вредных (загрязняющих) веществ в атмосферный воздух стационарными источниками, находящимися на объектах хозяйственной и иной деятельности, за исключением объектов, подлежащих федеральному государственному экологическому надзору, выдача дубликатов разрешений на выброс вредных (загрязняющих) веществ в атмосферный воздух"
Номер опубликования: 6801201810110003
Дата опубликования: 11.10.2018
Страница №23 из 25:
Увеличить